ОТВЕТ на задание № 554 Учебник по Математике 6 класс Мерзляк Алгоритм успеха

Решебник №1

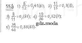
глава 2 / 554

Решебник №2

глава 2 / 554

Решебник №3

глава 2 / 554

Решебник №4

глава 2 / 554

Решебник №5

глава 2 / 554

Решебник №6

глава 2 / 554

Все ГДЗ по Математике 6 класс Алгоритм успеха

ГДЗ решение к заданию № 554 Математика 6 класс Мерзляк А.Г. Вентана-граф 2016 ФГОС бесплатно на гдз.мода!