ОТВЕТ на задание № 577 Учебник по Математике 6 класс Мерзляк Алгоритм успеха

Решебник №1

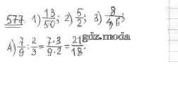
глава 3 / 577

Решебник №2

глава 3 / 577

Решебник №3

глава 3 / 577

Решебник №4

глава 3 / 577

Решебник №5

глава 3 / 577

Решебник №6

глава 3 / 577

Все ГДЗ по Математике 6 класс Алгоритм успеха

ГДЗ решение к заданию № 577 Математика 6 класс Мерзляк А.Г. Вентана-граф 2016 ФГОС бесплатно на гдз.мода!