ОТВЕТ на задание № 627 Учебник по Математике 6 класс Мерзляк Алгоритм успеха

Решебник №1

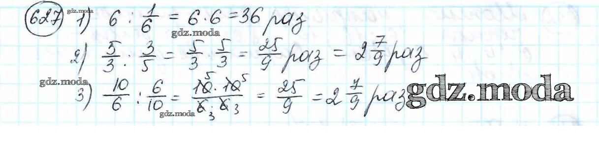
глава 3 / 627

Решебник №2

глава 3 / 627

Решебник №3

глава 3 / 627

Решебник №4

глава 3 / 627

Решебник №5

глава 3 / 627

Решебник №6

глава 3 / 627

Все ГДЗ по Математике 6 класс Алгоритм успеха

ГДЗ решение к заданию № 627 Математика 6 класс Мерзляк А.Г. Вентана-граф 2016 ФГОС бесплатно на гдз.мода!