ОТВЕТ на задание № 725 Учебник по Математике 6 класс Мерзляк Алгоритм успеха

Решебник №1

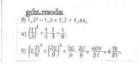
глава 3 / 725

Решебник №2

глава 3 / 725

Решебник №3

глава 3 / 725

Решебник №4

глава 3 / 725

Решебник №5

глава 3 / 725

Решебник №6

глава 3 / 725

Все ГДЗ по Математике 6 класс Алгоритм успеха

ГДЗ решение к заданию № 725 Математика 6 класс Мерзляк А.Г. Вентана-граф 2016 ФГОС бесплатно на гдз.мода!