ОТВЕТ на задание № 1008 Учебник по Математике 6 класс Мерзляк Алгоритм успеха

Решебник №1

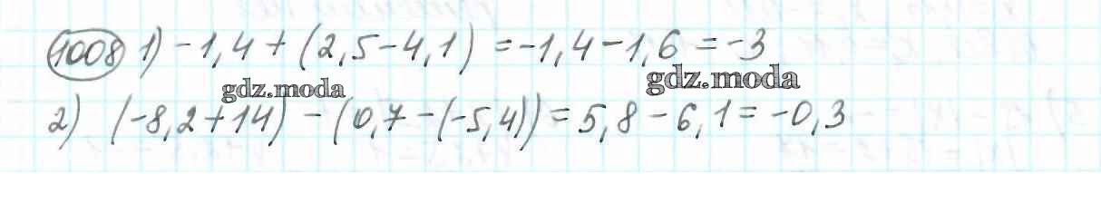
глава 4 / 1008

Решебник №2

глава 4 / 1008

Решебник №3

глава 4 / 1008

Решебник №4

глава 4 / 1008

Решебник №5

глава 4 / 1008

Решебник №6

глава 4 / 1008

Все ГДЗ по Математике 6 класс Алгоритм успеха

ГДЗ решение к заданию № 1008 Математика 6 класс Мерзляк А.Г. Вентана-граф 2016 ФГОС бесплатно на гдз.мода!