ОТВЕТ на задание № 1116 Учебник по Математике 6 класс Мерзляк Алгоритм успеха

Решебник №1

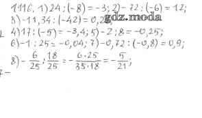
глава 4 / 1116

Решебник №2

глава 4 / 1116

Решебник №3

глава 4 / 1116

Решебник №4

глава 4 / 1116

Решебник №5

глава 4 / 1116

Решебник №6

глава 4 / 1116

Все ГДЗ по Математике 6 класс Алгоритм успеха

ГДЗ решение к заданию № 1116 Математика 6 класс Мерзляк А.Г. Вентана-граф 2016 ФГОС бесплатно на гдз.мода!