ОТВЕТ на задание № 21 Учебник по Математике 6 класс Мерзляк Алгоритм успеха

Решебник №1

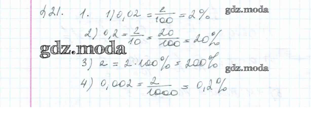
решаем устно / 21

Решебник №2

решаем устно / 21

Решебник №3

решаем устно / 21

Решебник №4

решаем устно / 21

Решебник №6

решаем устно / 21

Все ГДЗ по Математике 6 класс Алгоритм успеха

ГДЗ решение к заданию № 21 Математика 6 класс Мерзляк А.Г. Вентана-граф 2016 ФГОС бесплатно на гдз.мода!