Классы
1 класс
2 класс
3 класс
4 класс
5 класс
6 класс
7 класс
8 класс
9 класс
10 класс
11 класс
Предметы
Алгебра
Английский язык
Белорусский язык
Биология
География
Геометрия
Естествознание
Информатика
Искусство
История
Кубановедение
Литература
Математика
Музыка
Немецкий язык
ОБЖ
Обществознание
Окружающий мир
Основы здоровья
Природоведение
Русский язык
Технология
Украинский язык
Физика
Французский язык
Химия
Человек и мир
Я исследую мир
ГДЗ
6 класс
Математика
учебник Мерзляк
1
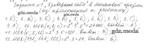
ОТВЕТ на задание № 1 Учебник по Математике 6 класс Мерзляк Алгоритм успеха
Показать содержание
← Предыдущее
Следующее →
Решебник №4
приложение / проверь себя / 1
Показать содержание
← Предыдущее
Следующее →
Все ГДЗ по
Математике 6 класс Алгоритм успеха
ГДЗ решение к заданию № 1 Математика 6 класс Мерзляк А.Г. Вентана-граф 2016 ФГОС бесплатно на гдз.мода!