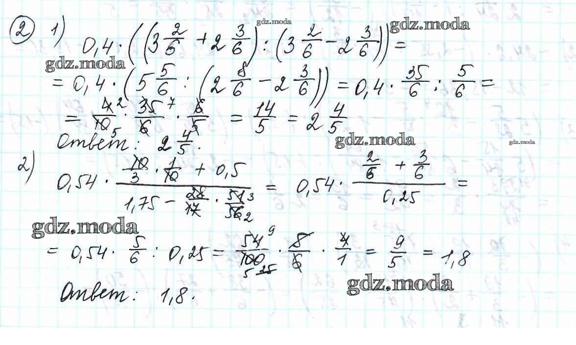
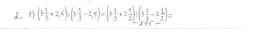
ОТВЕТ на задание № 2 Учебник по Математике 6 класс Мерзляк Алгоритм успеха
Решебник №2
приложение / 2
Решебник №3
приложение / 2
Решебник №4
приложение / 2
Все ГДЗ по Математике 6 класс Алгоритм успеха