ОТВЕТ на задание № 4 Учебник по Математике 6 класс Мерзляк Алгоритм успеха
Решебник №2
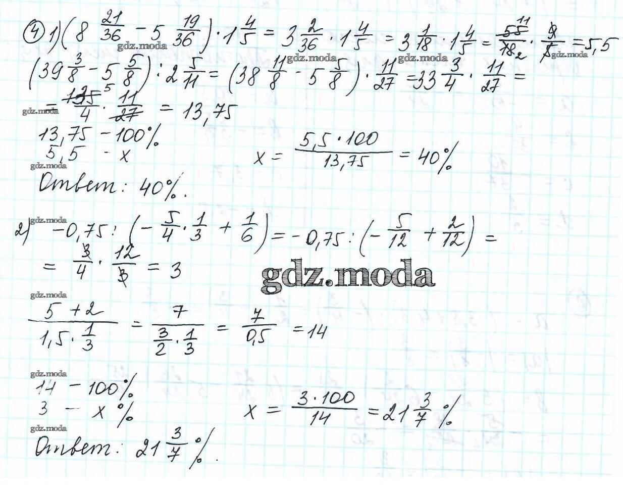
приложение / 4
Решебник №3
приложение / 4
Решебник №4
приложение / 4
Все ГДЗ по Математике 6 класс Алгоритм успеха