ОТВЕТ на задание № 43 Учебник по Математике 6 класс Мерзляк Алгоритм успеха
Решебник №2
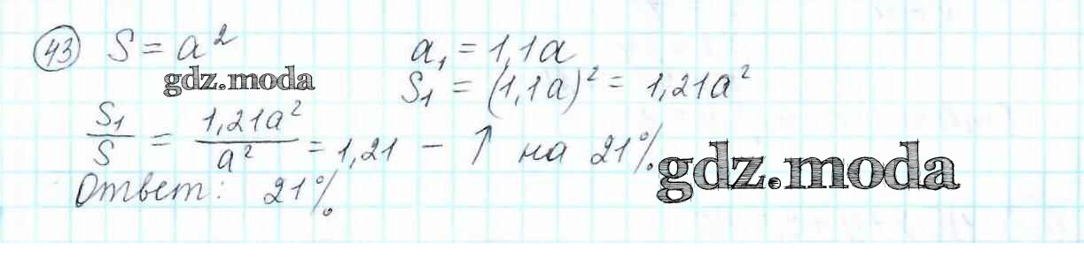
приложение / 43
Решебник №3
приложение / 43
Все ГДЗ по Математике 6 класс Алгоритм успеха
Все ГДЗ по Математике 6 класс Алгоритм успеха