ОТВЕТ на задание № 6 Учебник по Математике 6 класс Мерзляк Алгоритм успеха
Решебник №2
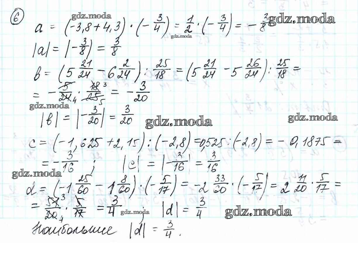
приложение / 6
Решебник №3
приложение / 6
Решебник №4
приложение / 6
Все ГДЗ по Математике 6 класс Алгоритм успеха