ОТВЕТ на задание № 8 Учебник по Математике 6 класс Мерзляк Алгоритм успеха
Решебник №2
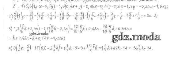
приложение / 8
Решебник №3
приложение / 8
Решебник №4
приложение / 8
Все ГДЗ по Математике 6 класс Алгоритм успеха