Классы
1 класс
2 класс
3 класс
4 класс
5 класс
6 класс
7 класс
8 класс
9 класс
10 класс
11 класс
Предметы
Алгебра
Английский язык
Белорусский язык
Биология
География
Геометрия
Естествознание
Информатика
Искусство
История
Кубановедение
Литература
Математика
Музыка
Немецкий язык
ОБЖ
Обществознание
Окружающий мир
Основы здоровья
Природоведение
Русский язык
Технология
Украинский язык
Физика
Французский язык
Химия
Человек и мир
Я исследую мир
ГДЗ
6 класс
Математика
Муравин
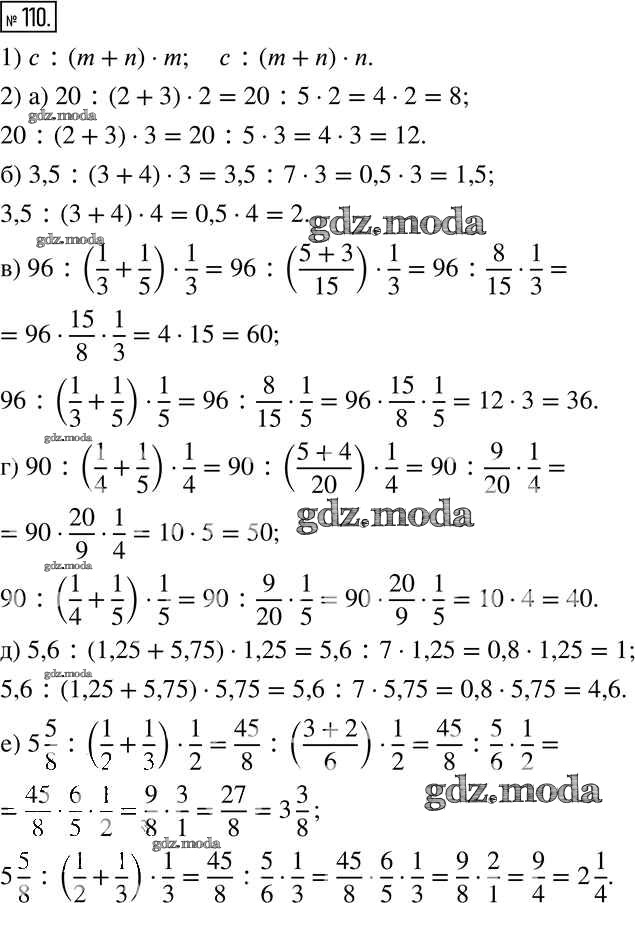
110
ОТВЕТ на задание № 110 Учебник по Математике 6 класс Муравин Вертикаль
Показать содержание
← Предыдущее
Следующее →
Решебник
§5 / 110
Показать содержание
← Предыдущее
Следующее →
ГДЗ решение к заданию № 110 Математика 6 класс Муравин Г.К. Дрофа 2016 ФГОС бесплатно на гдз.мода!