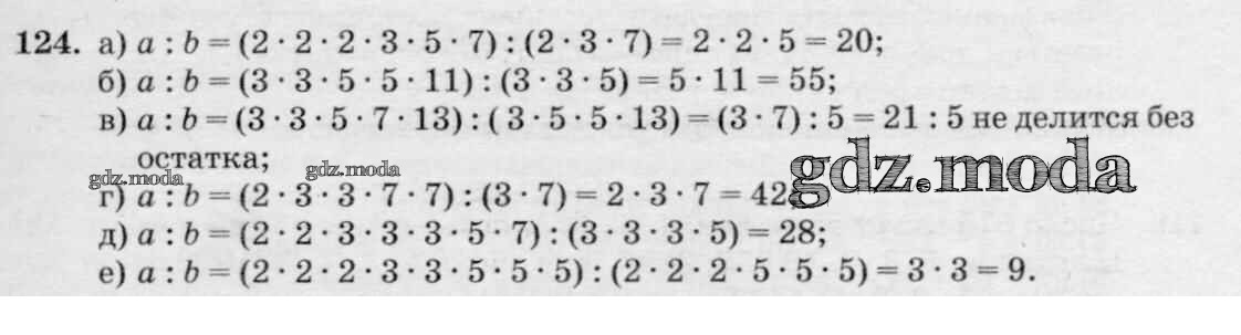
ОТВЕТ на задание № 124 Учебник по Математике 6 класс Виленкин
Решебник №1
глава 1 / §1 / 124

Решебник №2
глава 1 / §1 / 124


Решебник №3
глава 1 / §1 / 124

Решебник №4
глава 1 / §1 / 124

Решебник №5
глава 1 / §1 / 124


Решебник №6
глава 1 / §1 / 124




Решебник №7
глава 1 / §1 / 124

Решебник №8
глава 1 / §1 / 124

Решебник №9 (2013)
глава 1 / §1 / 124
