ОТВЕТ на задание № 21 Учебник по Математике 6 класс Виленкин
Решебник №1
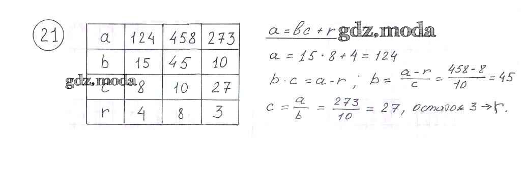
глава 1 / §1 / 21

Решебник №2
глава 1 / §1 / 21

Решебник №3
глава 1 / §1 / 21

Решебник №4
глава 1 / §1 / 21

Решебник №5
глава 1 / §1 / 21

Решебник №6
глава 1 / §1 / 21



Решебник №7
глава 1 / §1 / 21

Решебник №8
глава 1 / §1 / 21

Решебник №9 (2013)
глава 1 / §1 / 21
