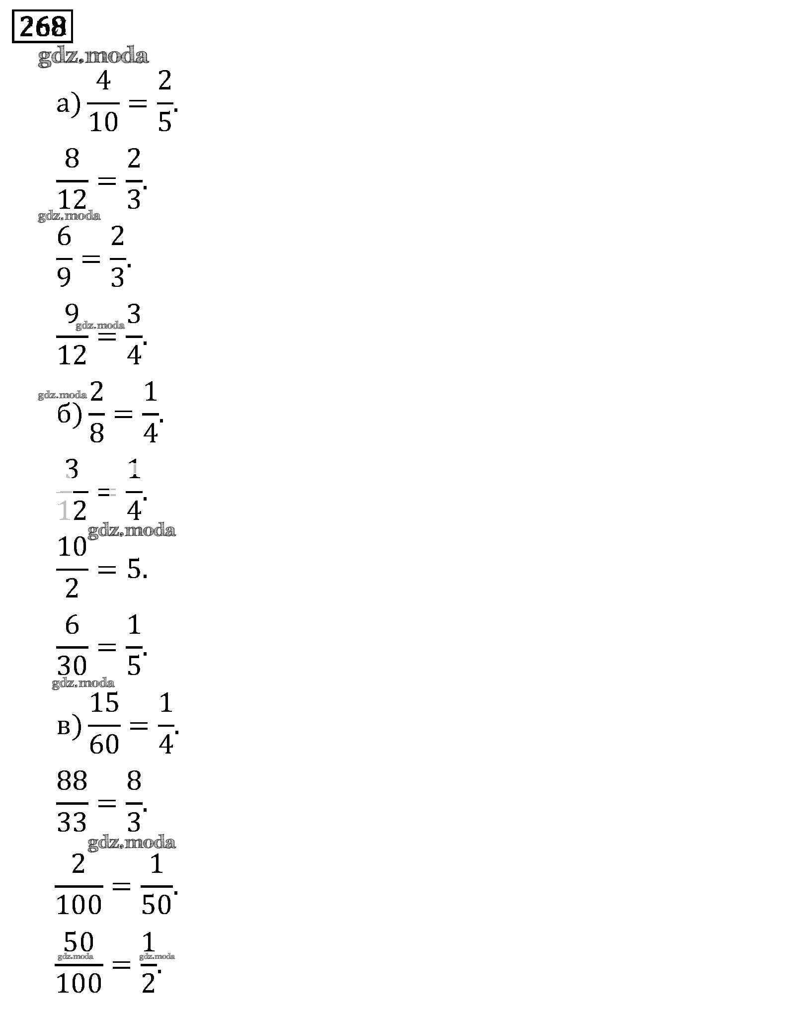
ОТВЕТ на задание № 268 Учебник по Математике 6 класс Виленкин
Решебник №1
глава 1 / §2 / 268

Решебник №2
глава 1 / §2 / 268

Решебник №3
глава 1 / §2 / 268

Решебник №4
глава 1 / §2 / 268

Решебник №5
глава 1 / §2 / 268

Решебник №6
глава 1 / §2 / 268



Решебник №7
глава 1 / §2 / 268

Решебник №8
глава 1 / §2 / 268

Решебник №9 (2013)
глава 1 / §2 / 268
