ОТВЕТ на задание № 579 Учебник по Математике 6 класс Виленкин
Решебник №1
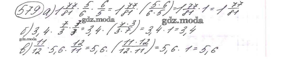
глава 1 / §3 / 579

Решебник №2
глава 1 / §3 / 579

Решебник №3
глава 1 / §3 / 579

Решебник №4
глава 1 / §3 / 579

Решебник №5
глава 1 / §3 / 579

Решебник №7
глава 1 / §3 / 579

Решебник №9 (2013)
глава 1 / §3 / 579
