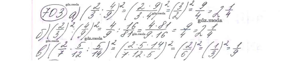
ОТВЕТ на задание № 703 Учебник по Математике 6 класс Виленкин
Решебник №1
глава 1 / §3 / 703

Решебник №2
глава 1 / §3 / 703

Решебник №3
глава 1 / §3 / 703

Решебник №4
глава 1 / §3 / 703

Решебник №5
глава 1 / §3 / 703


Решебник №7
глава 1 / §3 / 703

Решебник №9 (2013)
глава 1 / §3 / 703
