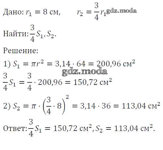
ОТВЕТ на задание № 883 Учебник по Математике 6 класс Виленкин
Решебник №1
глава 1 / §4 / 883

Решебник №2
глава 1 / §4 / 883

Решебник №3
глава 1 / §4 / 883

Решебник №4
глава 1 / §4 / 883

Решебник №5
глава 1 / §4 / 883

Решебник №7
глава 1 / §4 / 883

Решебник №9 (2013)
глава 1 / §4 / 883
