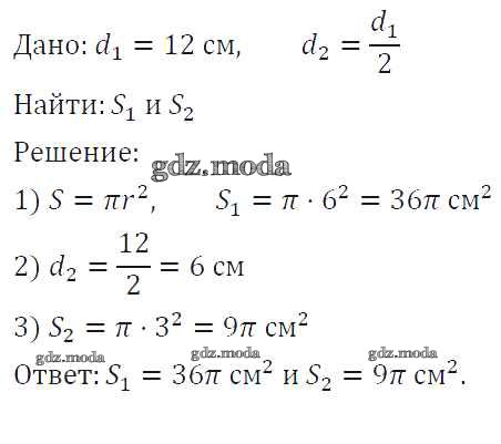
ОТВЕТ на задание № 888 Учебник по Математике 6 класс Виленкин
Решебник №1
глава 1 / §4 / 888

Решебник №2
глава 1 / §4 / 888

Решебник №3
глава 1 / §4 / 888

Решебник №4
глава 1 / §4 / 888

Решебник №5
глава 1 / §4 / 888

Решебник №7
глава 1 / §4 / 888

Решебник №9 (2013)
глава 1 / §4 / 888
