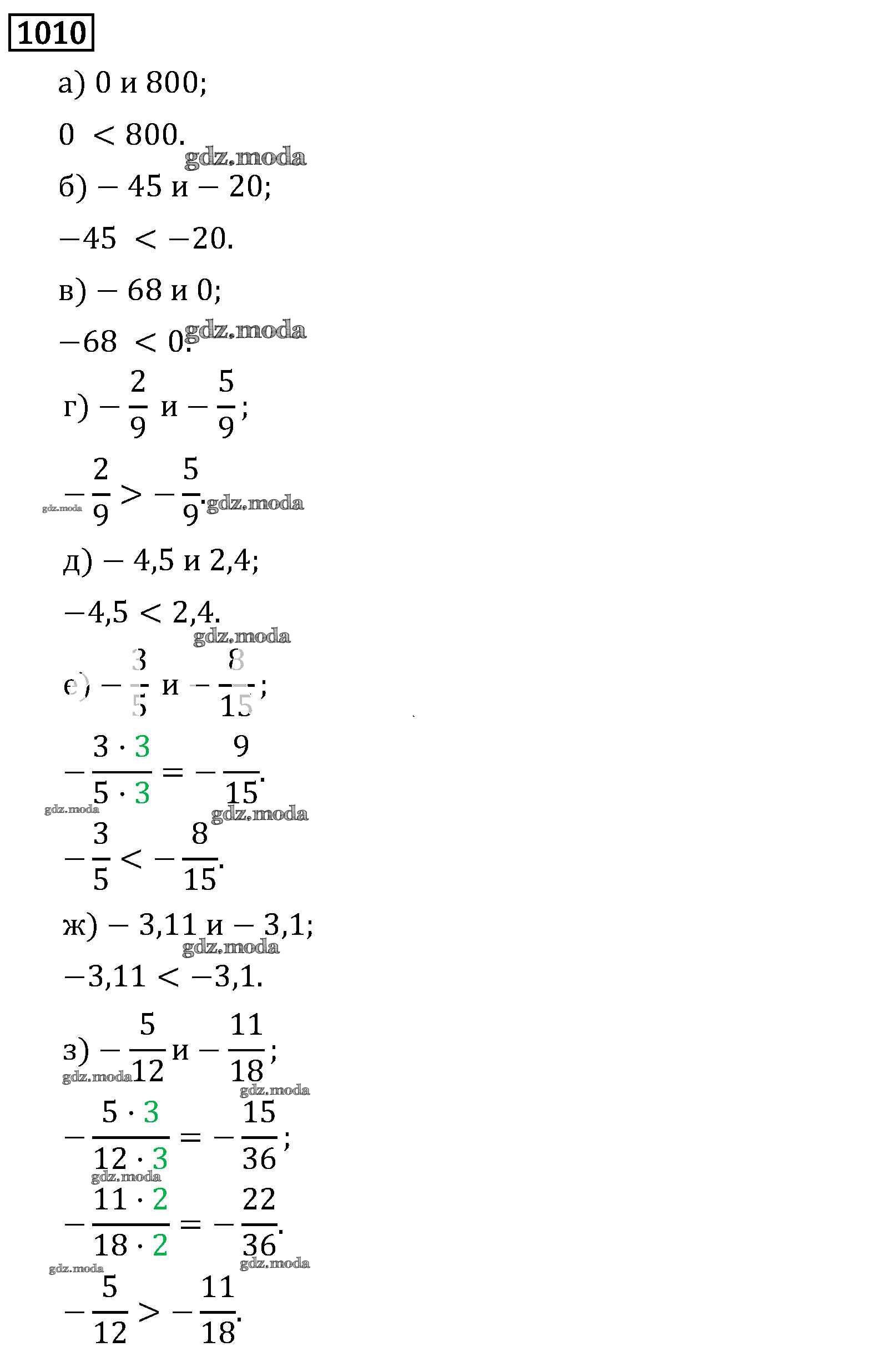
ОТВЕТ на задание № 1010 Учебник по Математике 6 класс Виленкин
Решебник №1
глава 2 / §5 / 1010

Решебник №2
глава 2 / §5 / 1010

Решебник №3
глава 2 / §5 / 1010

Решебник №4
глава 2 / §5 / 1010

Решебник №5
глава 2 / §5 / 1010

Решебник №7
глава 2 / §5 / 1010

Решебник №9 (2013)
глава 2 / §5 / 1010
