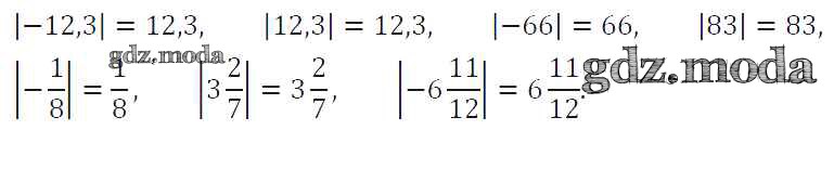
ОТВЕТ на задание № 951 Учебник по Математике 6 класс Виленкин
Решебник №1
глава 2 / §5 / 951

Решебник №2
глава 2 / §5 / 951

Решебник №3
глава 2 / §5 / 951

Решебник №4
глава 2 / §5 / 951

Решебник №5
глава 2 / §5 / 951


Решебник №7
глава 2 / §5 / 951

Решебник №9 (2013)
глава 2 / §5 / 951
