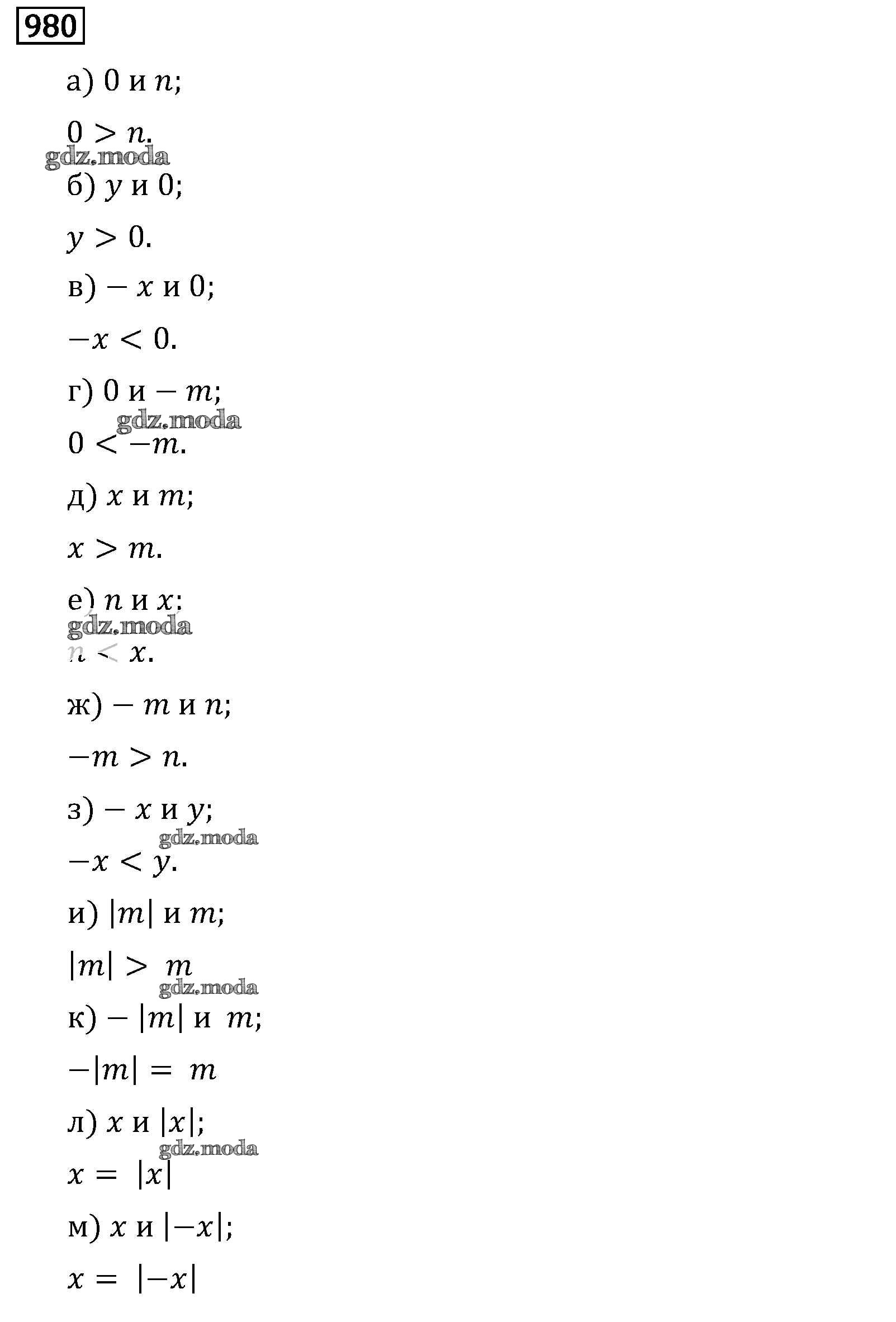
ОТВЕТ на задание № 980 Учебник по Математике 6 класс Виленкин
Решебник №1
глава 2 / §5 / 980

Решебник №2
глава 2 / §5 / 980

Решебник №3
глава 2 / §5 / 980

Решебник №4
глава 2 / §5 / 980

Решебник №5
глава 2 / §5 / 980

Решебник №7
глава 2 / §5 / 980

Решебник №9 (2013)
глава 2 / §5 / 980
