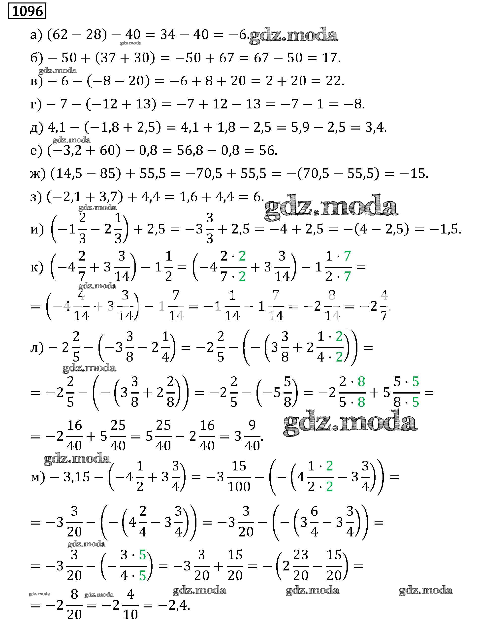
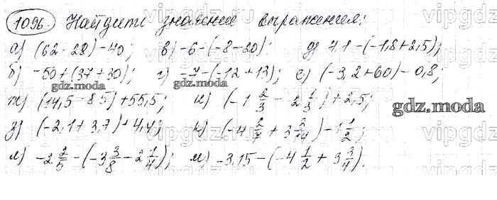
ОТВЕТ на задание № 1096 Учебник по Математике 6 класс Виленкин
Решебник №1
глава 2 / §6 / 1096

Решебник №2
глава 2 / §6 / 1096


Решебник №3
глава 2 / §6 / 1096

Решебник №4
глава 2 / §6 / 1096

Решебник №5
глава 2 / §6 / 1096


Решебник №7
глава 2 / §6 / 1096

Решебник №9 (2013)
глава 2 / §6 / 1096

