ОТВЕТ на задание № 1123 Учебник по Математике 6 класс Виленкин
Решебник №1
глава 2 / §7 / 1123

Решебник №2
глава 2 / §7 / 1123


Решебник №3
глава 2 / §7 / 1123


Решебник №4
глава 2 / §7 / 1123

Решебник №5
глава 2 / §7 / 1123


Решебник №7
глава 2 / §7 / 1123

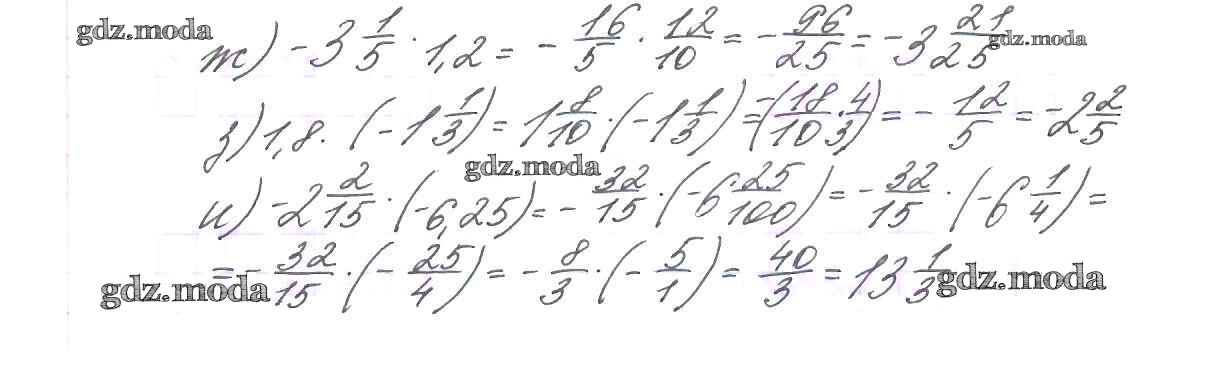
Решебник №9 (2013)
глава 2 / §7 / 1123
