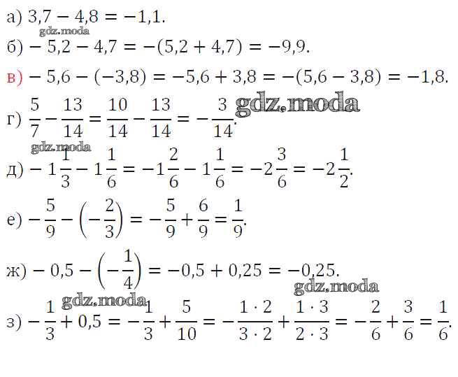
ОТВЕТ на задание № 1132 Учебник по Математике 6 класс Виленкин
Решебник №1
глава 2 / §7 / 1132

Решебник №2
глава 2 / §7 / 1132


Решебник №3
глава 2 / §7 / 1132

Решебник №4
глава 2 / §7 / 1132

Решебник №5
глава 2 / §7 / 1132


Решебник №7
глава 2 / §7 / 1132

Решебник №9 (2013)
глава 2 / §7 / 1132
