ОТВЕТ на задание № 1163 Учебник по Математике 6 класс Виленкин
Решебник №1
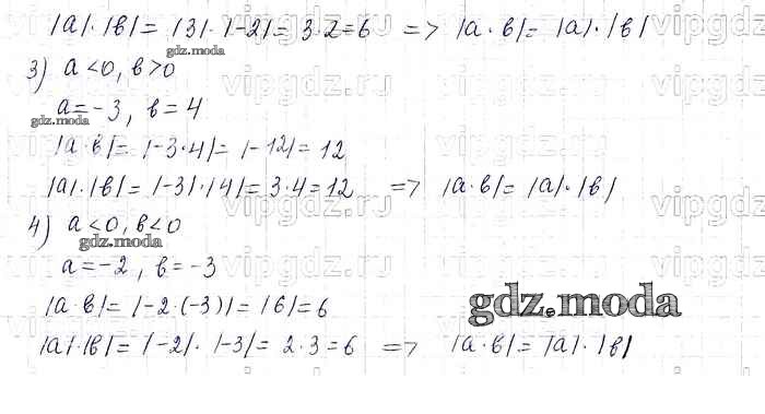
глава 2 / §7 / 1163

Решебник №2
глава 2 / §7 / 1163


Решебник №3
глава 2 / §7 / 1163

Решебник №4
глава 2 / §7 / 1163

Решебник №5
глава 2 / §7 / 1163


Решебник №7
глава 2 / §7 / 1163

Решебник №9 (2013)
глава 2 / §7 / 1163
