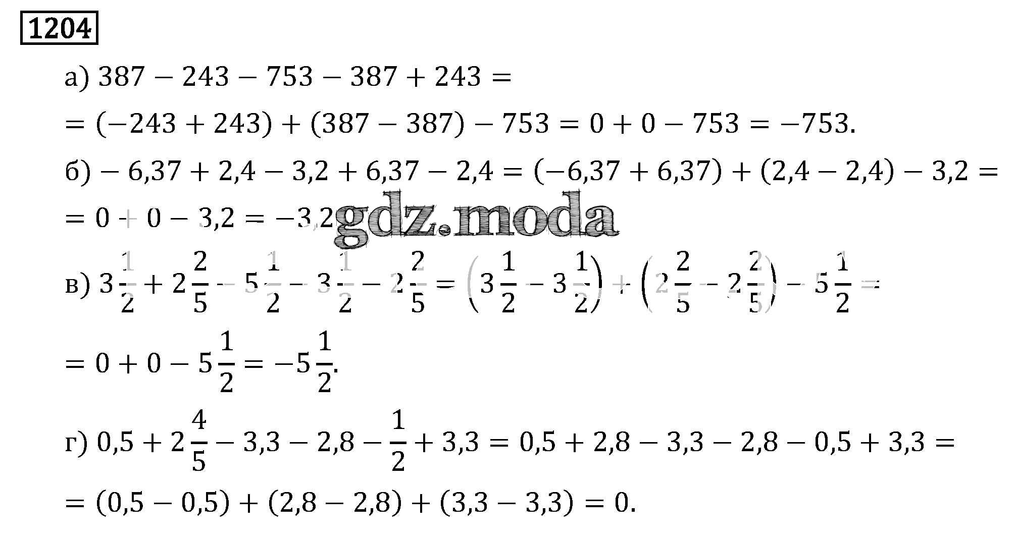
ОТВЕТ на задание № 1204 Учебник по Математике 6 класс Виленкин
Решебник №1
глава 2 / §7 / 1204

Решебник №2
глава 2 / §7 / 1204

Решебник №3
глава 2 / §7 / 1204

Решебник №4
глава 2 / §7 / 1204

Решебник №5
глава 2 / §7 / 1204


Решебник №7
глава 2 / §7 / 1204

Решебник №9 (2013)
глава 2 / §7 / 1204
