ОТВЕТ на задание № 1221 Учебник по Математике 6 класс Виленкин
Решебник №1
глава 2 / §7 / 1221

Решебник №2
глава 2 / §7 / 1221


Решебник №3
глава 2 / §7 / 1221

Решебник №4
глава 2 / §7 / 1221

Решебник №5
глава 2 / §7 / 1221


Решебник №7
глава 2 / §7 / 1221

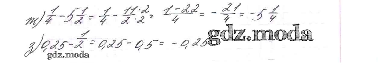
Решебник №9 (2013)
глава 2 / §7 / 1221
