ОТВЕТ на задание № 1228 Учебник по Математике 6 класс Виленкин
Решебник №1
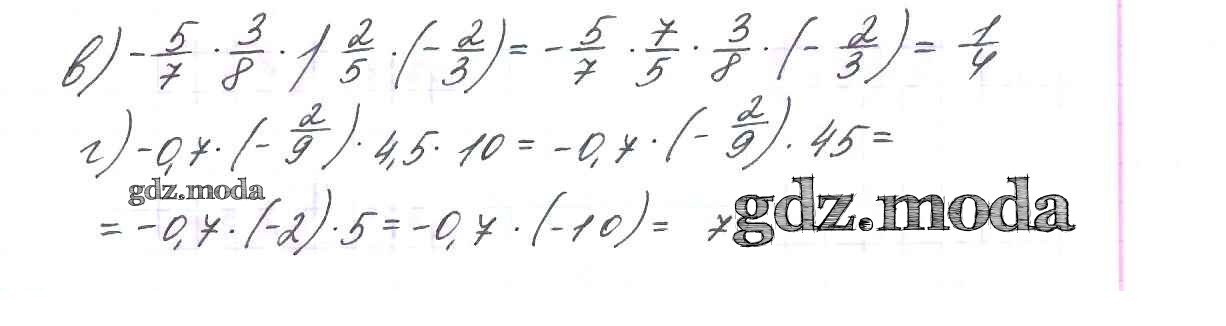
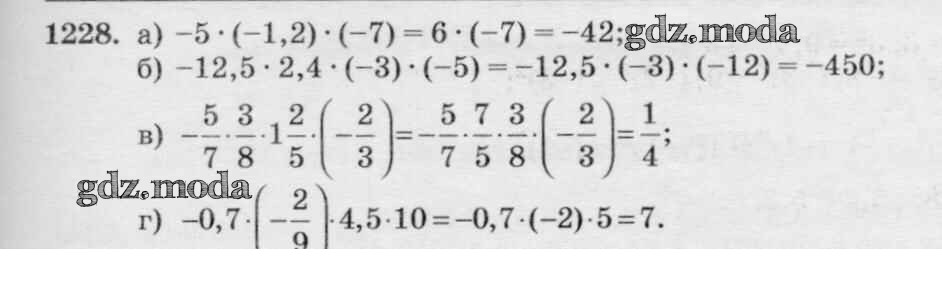
глава 2 / §7 / 1228

Решебник №2
глава 2 / §7 / 1228


Решебник №3
глава 2 / §7 / 1228

Решебник №4
глава 2 / §7 / 1228

Решебник №5
глава 2 / §7 / 1228

Решебник №7
глава 2 / §7 / 1228

Решебник №9 (2013)
глава 2 / §7 / 1228
