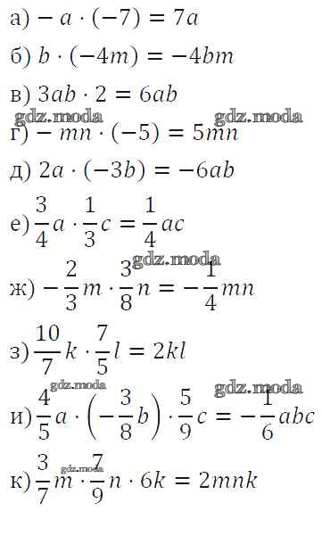
ОТВЕТ на задание № 1275 Учебник по Математике 6 класс Виленкин
Решебник №1
глава 2 / §8 / 1275

Решебник №2
глава 2 / §8 / 1275

Решебник №3
глава 2 / §8 / 1275

Решебник №4
глава 2 / §8 / 1275

Решебник №5
глава 2 / §8 / 1275



Решебник №7
глава 2 / §8 / 1275

Решебник №9 (2013)
глава 2 / §8 / 1275
