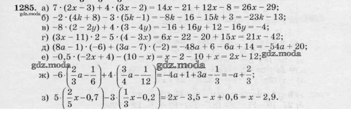
ОТВЕТ на задание № 1285 Учебник по Математике 6 класс Виленкин
Решебник №1
глава 2 / §8 / 1285

Решебник №2
глава 2 / §8 / 1285


Решебник №3
глава 2 / §8 / 1285

Решебник №4
глава 2 / §8 / 1285

Решебник №5
глава 2 / §8 / 1285

Решебник №7
глава 2 / §8 / 1285

Решебник №9 (2013)
глава 2 / §8 / 1285
