ОТВЕТ на задание № 1304 Учебник по Математике 6 класс Виленкин
Решебник №1
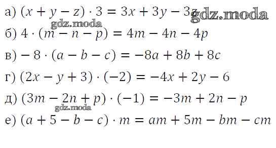
глава 2 / §8 / 1304

Решебник №2
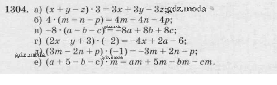
глава 2 / §8 / 1304

Решебник №3
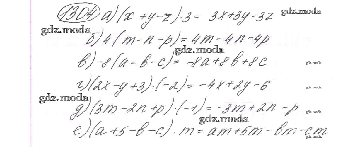
глава 2 / §8 / 1304

Решебник №4
глава 2 / §8 / 1304

Решебник №5
глава 2 / §8 / 1304

Решебник №7
глава 2 / §8 / 1304

Решебник №9 (2013)
глава 2 / §8 / 1304
