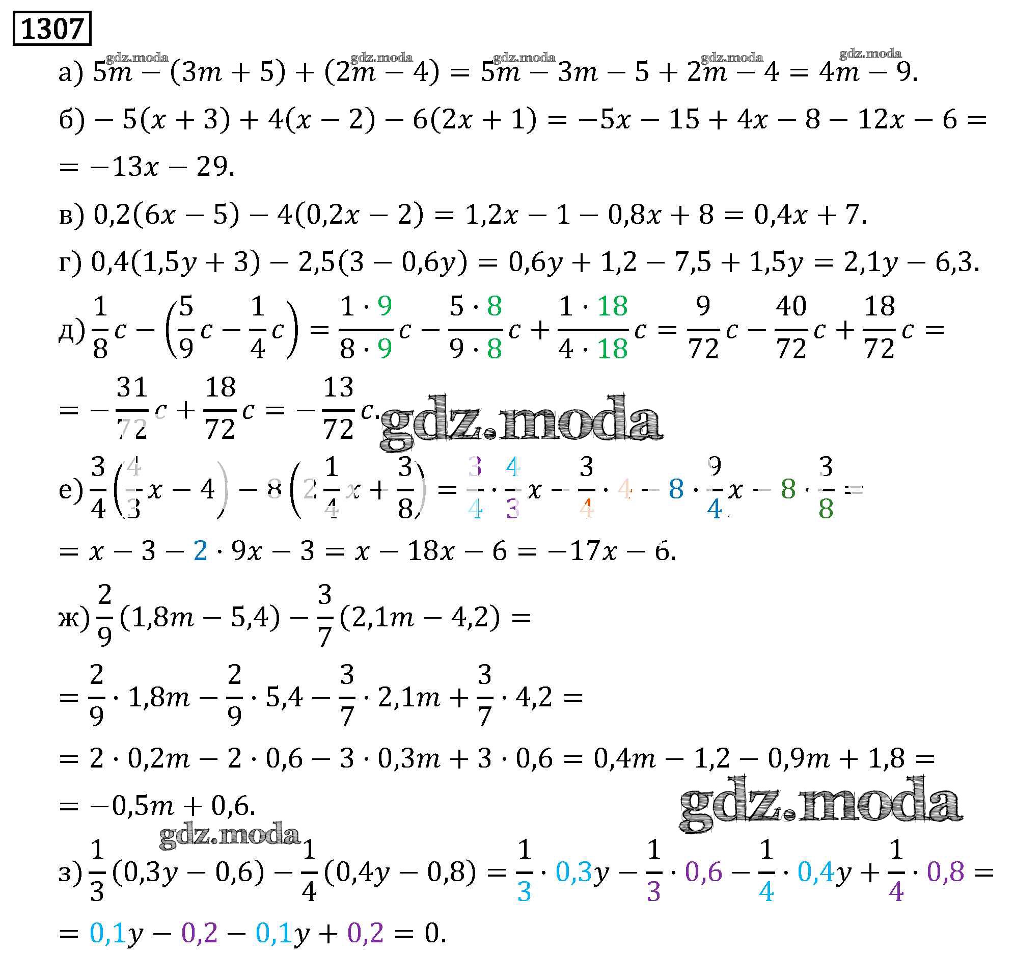
ОТВЕТ на задание № 1307 Учебник по Математике 6 класс Виленкин
Решебник №1
глава 2 / §8 / 1307

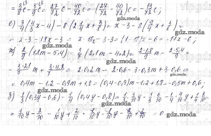
Решебник №2
глава 2 / §8 / 1307


Решебник №3
глава 2 / §8 / 1307

Решебник №4
глава 2 / §8 / 1307

Решебник №5
глава 2 / §8 / 1307


Решебник №7
глава 2 / §8 / 1307

Решебник №9 (2013)
глава 2 / §8 / 1307
