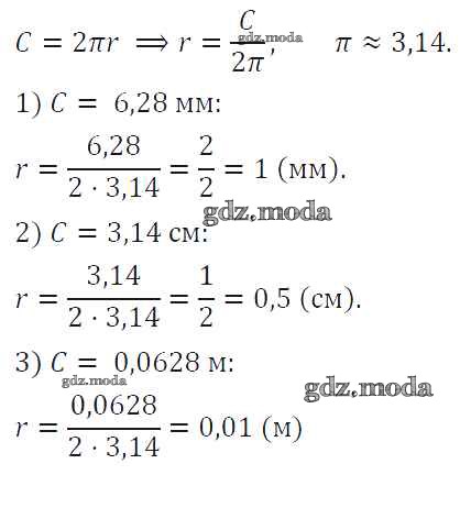
ОТВЕТ на задание № 1411 Учебник по Математике 6 класс Виленкин
Решебник №1
глава 2 / §9 / 1411

Решебник №2
глава 2 / §9 / 1411

Решебник №3
глава 2 / §9 / 1411

Решебник №4
глава 2 / §9 / 1411

Решебник №5
глава 2 / §9 / 1411


Решебник №7
глава 2 / §9 / 1411

Решебник №9 (2013)
глава 2 / §9 / 1411
