ОТВЕТ на задание № 1450 Учебник по Математике 6 класс Виленкин
Решебник №1
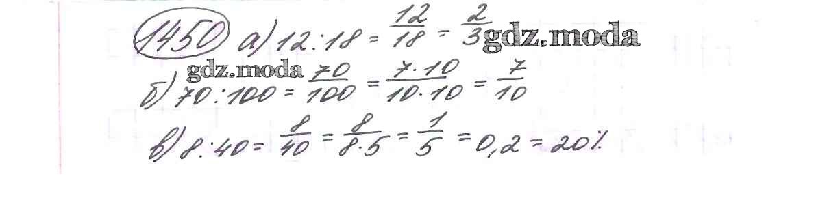
глава 2 / §9 / 1450

Решебник №2
глава 2 / §9 / 1450

Решебник №3
глава 2 / §9 / 1450

Решебник №4
глава 2 / §9 / 1450

Решебник №5
глава 2 / §9 / 1450

Решебник №7
глава 2 / §9 / 1450

Решебник №9 (2013)
глава 2 / §9 / 1450
