ОТВЕТ на задание № 1481 Учебник по Математике 6 класс Виленкин
Решебник №1
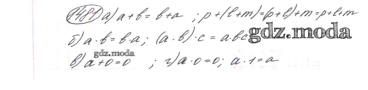
глава 2 / §9 / 1481

Решебник №2
глава 2 / §9 / 1481

Решебник №3
глава 2 / §9 / 1481


Решебник №4
глава 2 / §9 / 1481

Решебник №5
глава 2 / §9 / 1481

Решебник №7
глава 2 / §9 / 1481

Решебник №9 (2013)
глава 2 / §9 / 1481
