Классы
1 класс
2 класс
3 класс
4 класс
5 класс
6 класс
7 класс
8 класс
9 класс
10 класс
11 класс
Предметы
Алгебра
Английский язык
Белорусский язык
Биология
География
Геометрия
Естествознание
Информатика
Искусство
История
Кубановедение
Литература
Математика
Музыка
Немецкий язык
ОБЖ
Обществознание
Окружающий мир
Основы здоровья
Природоведение
Русский язык
Технология
Украинский язык
Физика
Французский язык
Химия
Человек и мир
Я исследую мир
ГДЗ
6 класс
Математика
учебник Зубарева
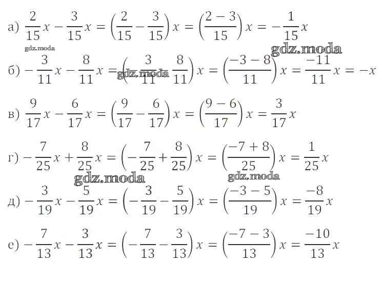
549
ОТВЕТ на задание № 549 Учебник по Математике 6 класс Зубарева
Показать содержание
← Предыдущее
Следующее →
Решебник 1
упражнение / 549
Решебник 2
упражнение / 549
Решебник 3
упражнение / 549
Показать содержание
← Предыдущее
Следующее →
ГДЗ решение к заданию № 549 Математика 6 класс Зубарева И.И. Мнемозина 2015 ФГОС бесплатно на гдз.мода!