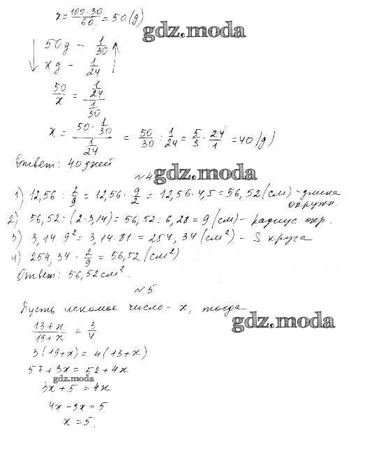
ОТВЕТ на задание № Б-1 Самостоятельные и контрольные работы по Математике 6 класс Ершова
Решебник
контрольные работы / кр-6 / Б-1
ГДЗ решение к заданию № Б-1 Математика 6 класс самостоятельные и контрольные работы Ершова А.П. Илекса 2015 ФГОС бесплатно на гдз.мода!