Классы
1 класс
2 класс
3 класс
4 класс
5 класс
6 класс
7 класс
8 класс
9 класс
10 класс
11 класс
Предметы
Алгебра
Английский язык
Белорусский язык
Биология
География
Геометрия
Естествознание
Информатика
Искусство
История
Кубановедение
Литература
Математика
Музыка
Немецкий язык
ОБЖ
Обществознание
Окружающий мир
Основы здоровья
Природоведение
Русский язык
Технология
Украинский язык
Физика
Французский язык
Химия
Человек и мир
Я исследую мир
ГДЗ
6 класс
Математика
задачник Бунимович
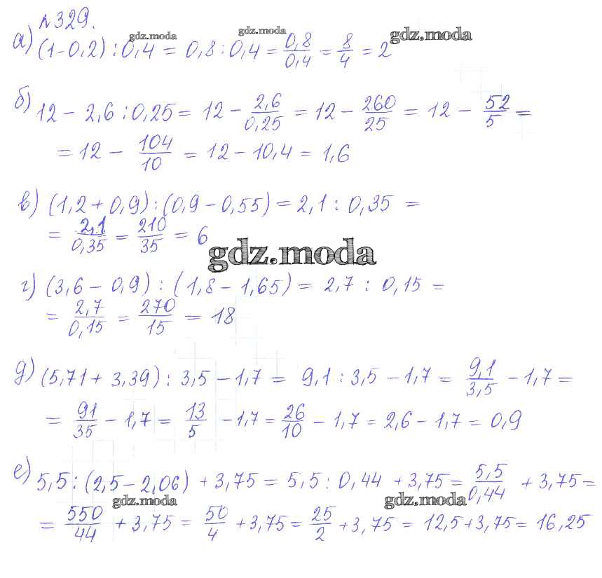
329
ОТВЕТ на задание № 329 Задачник по Математике 6 класс Бунимович Сферы
Показать содержание
← Предыдущее
Следующее →
Решебник
упражнение / 329
Решебник 2
упражнение / 329
Показать содержание
← Предыдущее
Следующее →
Все ГДЗ по
Математике 6 класс Сферы
ГДЗ решение к заданию № 329 Математика 6 класс задачник Бунимович Е.А. Просвещение 2014 Часть 1, Часть 2 ФГОС бесплатно на гдз.мода!