Классы
1 класс
2 класс
3 класс
4 класс
5 класс
6 класс
7 класс
8 класс
9 класс
10 класс
11 класс
Предметы
Алгебра
Английский язык
Белорусский язык
Биология
География
Геометрия
Естествознание
Информатика
Искусство
История
Кубановедение
Литература
Математика
Музыка
Немецкий язык
ОБЖ
Обществознание
Окружающий мир
Основы здоровья
Природоведение
Русский язык
Технология
Украинский язык
Физика
Французский язык
Химия
Человек и мир
Я исследую мир
ГДЗ
6 класс
Математика
задачник Бунимович
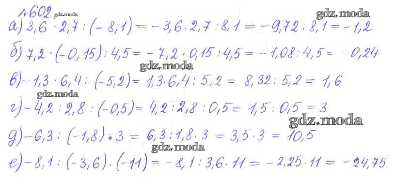
602
ОТВЕТ на задание № 602 Задачник по Математике 6 класс Бунимович Сферы
Показать содержание
← Предыдущее
Следующее →
Решебник
упражнение / 602
Решебник 2
упражнение / 602
Показать содержание
← Предыдущее
Следующее →
Все ГДЗ по
Математике 6 класс Сферы
ГДЗ решение к заданию № 602 Математика 6 класс задачник Бунимович Е.А. Просвещение 2014 Часть 1, Часть 2 ФГОС бесплатно на гдз.мода!