Классы
1 класс
2 класс
3 класс
4 класс
5 класс
6 класс
7 класс
8 класс
9 класс
10 класс
11 класс
Предметы
Алгебра
Английский язык
Белорусский язык
Биология
География
Геометрия
Естествознание
Информатика
Искусство
История
Кубановедение
Литература
Математика
Музыка
Немецкий язык
ОБЖ
Обществознание
Окружающий мир
Основы здоровья
Природоведение
Русский язык
Технология
Украинский язык
Физика
Французский язык
Химия
Человек и мир
Я исследую мир
ГДЗ
6 класс
Математика
контрольные работы Жохов
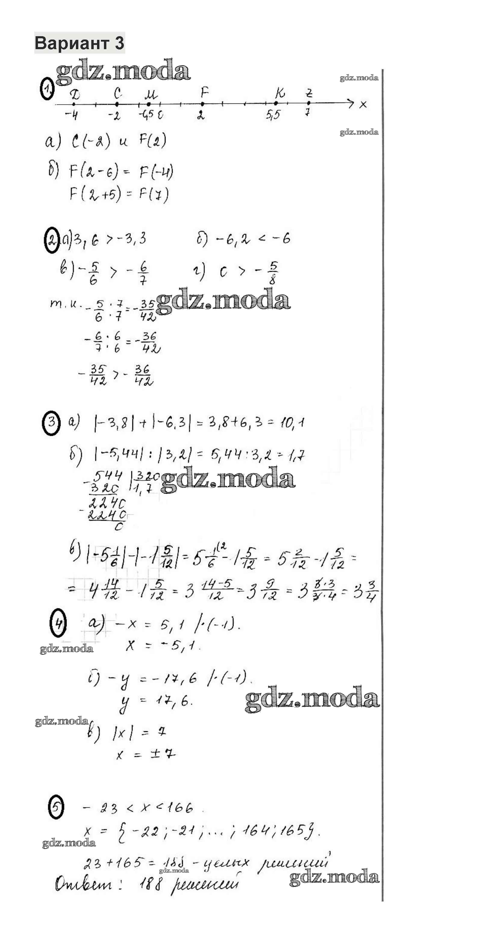
3
ОТВЕТ на задание № 3 Контрольные работы по Математике 6 класс Жохов
Показать содержание
← Предыдущее
Следующее →
Решебник
кр-9. вариант / 3
Решебник 2
кр-9. вариант / 3
Показать содержание
← Предыдущее
Следующее →
ГДЗ решение к заданию № 3 Математика 6 класс контрольные работы Жохов В.И. Мнемозина 2011 ФГОС бесплатно на гдз.мода!