Классы
1 класс
2 класс
3 класс
4 класс
5 класс
6 класс
7 класс
8 класс
9 класс
10 класс
11 класс
Предметы
Алгебра
Английский язык
Белорусский язык
Биология
География
Геометрия
Естествознание
Информатика
Искусство
История
Кубановедение
Литература
Математика
Музыка
Немецкий язык
ОБЖ
Обществознание
Окружающий мир
Основы здоровья
Природоведение
Русский язык
Технология
Украинский язык
Физика
Французский язык
Химия
Человек и мир
Я исследую мир
ГДЗ
7 класс
Алгебра
Арефьева
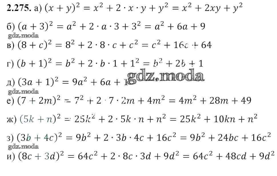
2.275
ОТВЕТ на задание № 2.275 Учебник по Алгебре 7 класс Арефьева
Показать содержание
← Предыдущее
Следующее →
Решебник
глава 2 / 2.275
Показать содержание
← Предыдущее
Следующее →
ГДЗ решение к заданию № 2.275 Алгебра 7 класс Арефьева И.Г. Народная асвета 2017 бесплатно на гдз.мода!