ОТВЕТ на задание № Глава 4 Учебник по Алгебре 7 класс Дорофеев Академический школьный учебник

Решебник 2

упражнение / проверь себя / глава 4

Решебник 3

упражнение / проверь себя / глава 4

Решебник 4

упражнение / проверь себя / глава 4

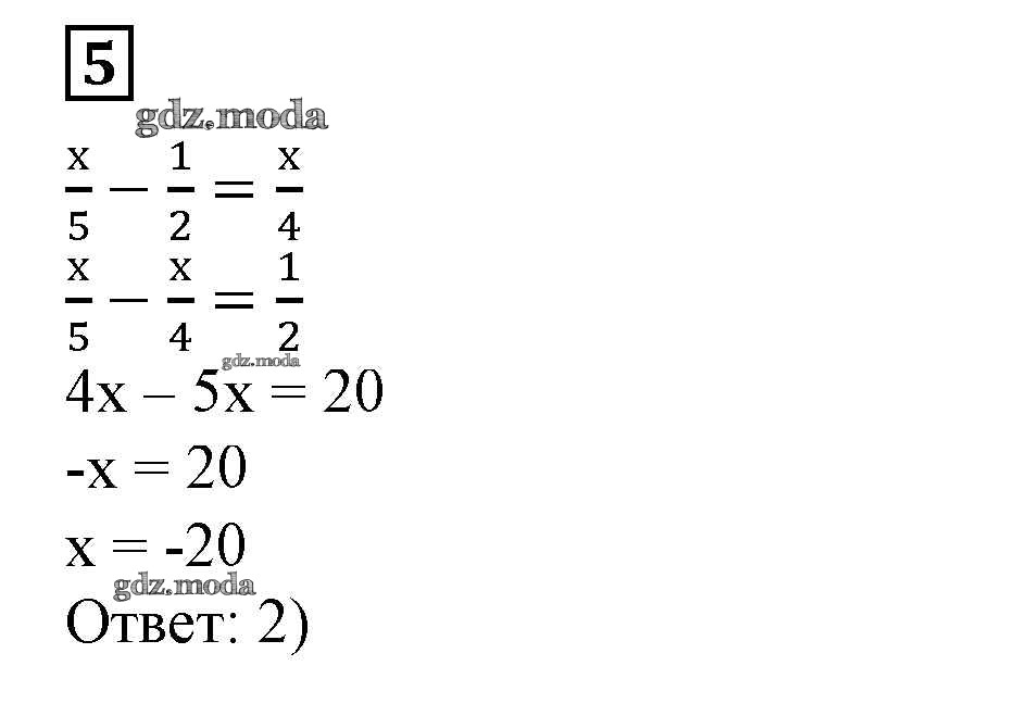
ГДЗ решение к заданию № Глава 4 Алгебра 7 класс Дорофеев Г.В. Просвещение 2020 ФГОС бесплатно на гдз.мода!