ОТВЕТ на задание № Глава 7 Учебник по Алгебре 7 класс Дорофеев Академический школьный учебник

Решебник 2

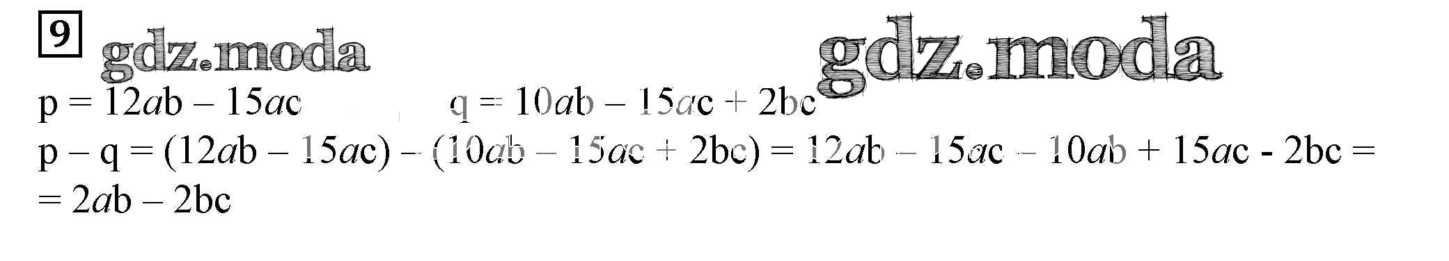
упражнение / проверь себя / глава 7

Решебник 3

упражнение / проверь себя / глава 7

ГДЗ решение к заданию № Глава 7 Алгебра 7 класс Дорофеев Г.В. Просвещение 2020 ФГОС бесплатно на гдз.мода!