ОТВЕТ на задание № 124 Учебник по Алгебре 7 класс Дорофеев Академический школьный учебник

Решебник 1

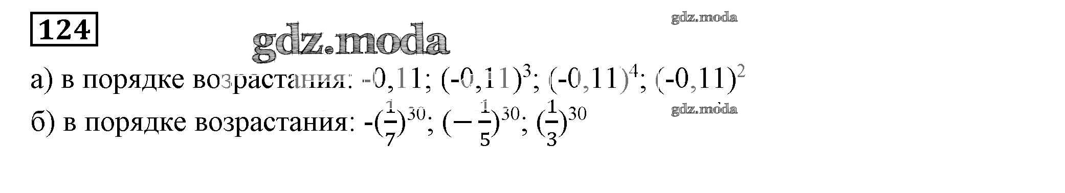
упражнение / 124

Решебник 3

упражнение / 124

Решебник 4

упражнение / 124

Решебник 5

упражнение / 124

ГДЗ решение к заданию № 124 Алгебра 7 класс Дорофеев Г.В. Просвещение 2020 ФГОС бесплатно на гдз.мода!