Классы
1 класс
2 класс
3 класс
4 класс
5 класс
6 класс
7 класс
8 класс
9 класс
10 класс
11 класс
Предметы
Алгебра
Английский язык
Белорусский язык
Биология
География
Геометрия
Естествознание
Информатика
Искусство
История
Кубановедение
Литература
Математика
Музыка
Немецкий язык
ОБЖ
Обществознание
Окружающий мир
Основы здоровья
Природоведение
Русский язык
Технология
Украинский язык
Физика
Французский язык
Химия
Человек и мир
Я исследую мир
ГДЗ
7 класс
Алгебра
учебник Дорофеев
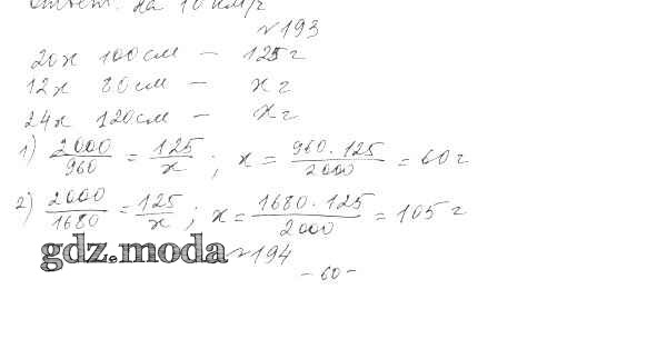
193
ОТВЕТ на задание № 193 Учебник по Алгебре 7 класс Дорофеев Академический школьный учебник
Показать содержание
← Предыдущее
Следующее →
Решебник 1
упражнение / 193
Решебник 2
упражнение / 193
Решебник 3
упражнение / 193
Решебник 4
упражнение / 193
Решебник 5
упражнение / 193
Показать содержание
← Предыдущее
Следующее →
ГДЗ решение к заданию № 193 Алгебра 7 класс Дорофеев Г.В. Просвещение 2020 ФГОС бесплатно на гдз.мода!