Классы
1 класс
2 класс
3 класс
4 класс
5 класс
6 класс
7 класс
8 класс
9 класс
10 класс
11 класс
Предметы
Алгебра
Английский язык
Белорусский язык
Биология
География
Геометрия
Естествознание
Информатика
Искусство
История
Кубановедение
Литература
Математика
Музыка
Немецкий язык
ОБЖ
Обществознание
Окружающий мир
Основы здоровья
Природоведение
Русский язык
Технология
Украинский язык
Физика
Французский язык
Химия
Человек и мир
Я исследую мир
ГДЗ
7 класс
Алгебра
учебник Дорофеев
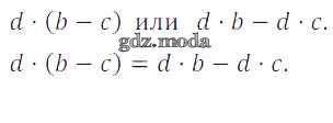
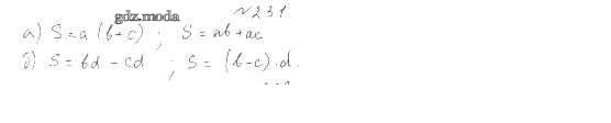
231
ОТВЕТ на задание № 231 Учебник по Алгебре 7 класс Дорофеев Академический школьный учебник
Показать содержание
← Предыдущее
Следующее →
Решебник 1
упражнение / 231
Решебник 2
упражнение / 231
Решебник 3
упражнение / 231
Решебник 4
упражнение / 231
Решебник 5
упражнение / 231
Показать содержание
← Предыдущее
Следующее →
ГДЗ решение к заданию № 231 Алгебра 7 класс Дорофеев Г.В. Просвещение 2020 ФГОС бесплатно на гдз.мода!