ОТВЕТ на задание № Глава 2 Учебник по Алгебре 7 класс Дорофеев Академический школьный учебник

Решебник 2

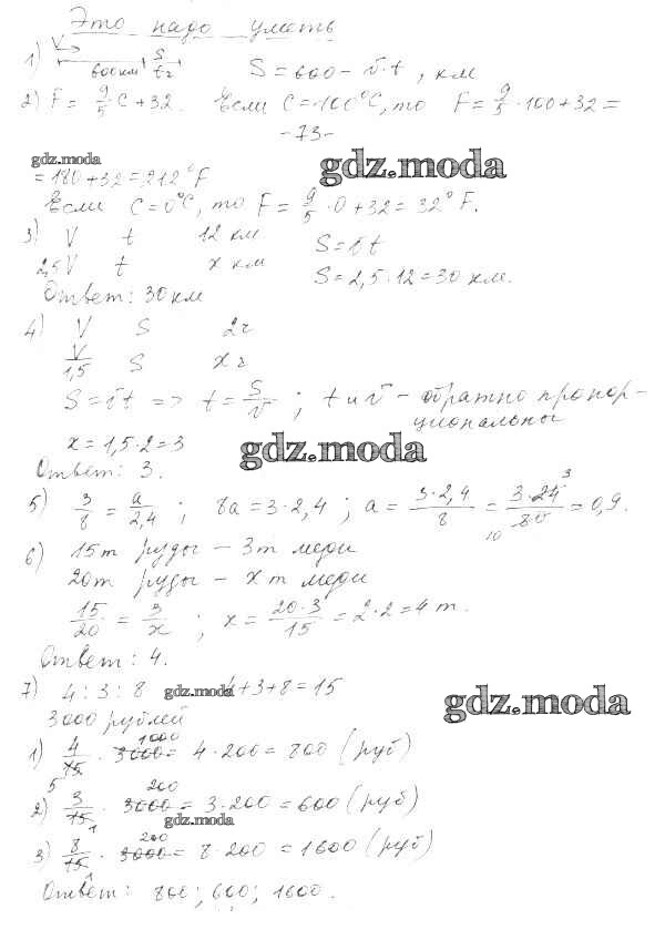
упражнение / это надо уметь / глава 2

Решебник 3

упражнение / это надо уметь / глава 2

Решебник 4

упражнение / это надо уметь / глава 2

ГДЗ решение к заданию № Глава 2 Алгебра 7 класс Дорофеев Г.В. Просвещение 2020 ФГОС бесплатно на гдз.мода!